Peperiksaan Akhir Tahun Sains Tingkatan 2 2018 Skema Jawapan
Koleksi Soalan Peperiksaan Akhir Tahun. Trial Examination Papers Answers.
Sains Tingkatan 1 Skema Jawapan Youtube
PT3 2018 PT3 2017 Skema Jawapan Semua Subjek.
. Bahagian A 60 1. TINGKATAN 2 2 Jam Kertas soalan ini mengandungi 13 halaman bercetak 1 SMK BATU KIKIR MODEL KHAS PEPERIKSAAN AKHIR TAHUN 2014 tingkat Disediakan oleh SITI NOORRUL AIN BINTI IDRUS. 4 Aktif 2010 5 Aktif 2011.
Tingkatan 2 Tahun 2018 Soalan Koleksi Soalan Peperiksaan Akhir Tahun PAT Tingkatan 2 K. Savesave soalan modul pt3 2019 set cdocx for later. 2 Jam Jawab semua soalan di kertas ini.
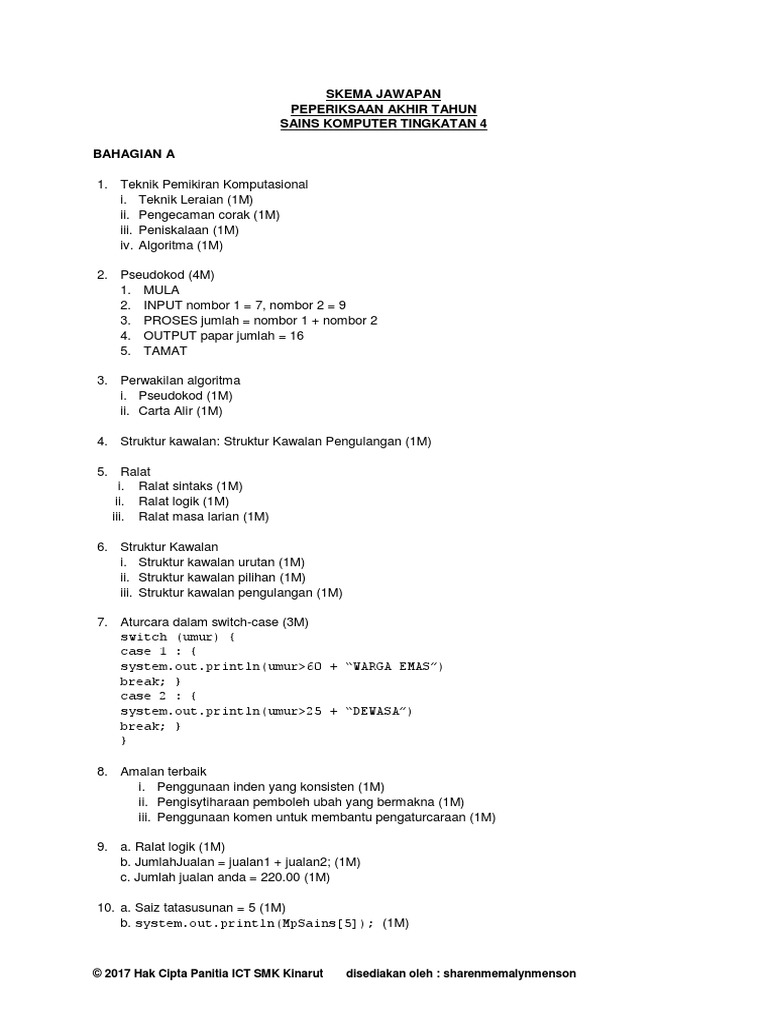
Teknik Pemikiran Komputasional i. Soalan Peperiksaan Akhir Tahun Tingkatan 2 KPentaksiran Tingkatan 3. Soalan peperiksaan pertengahan tahun bahasa inggeris tingkatan 1 terhebat soalan peperiksaan akhir tahun sains tingkatan 1 format pt3 brad contoh resume cover letter curriculum vitae terbaik.
Kecemerlangan sains tingkatan 1 skema jawapanUJIAN UPT SAINS TINGKATAN 1 SISTEM GURU ONLINE. INPUT nombor 1 7 nombor 2 9 3. 034241 blogspot com skema jawapan peperiksaan akhir tahun tingkatan 2 tingkatan 2 tahun 2019 soalan peperiksaan nota peperiksaan pertengahan tahun geografi tingkatan 2 tahun 2014 unit peperiksaan dan penilaian stmi gred peperiksaan 2015 2016 soalan peperiksaan akhir tahun tingkatan 1 2 3 2 jam peperiksaan bersama percubaan spm bank soalan.
Berikan satu kemahiran yang diperlukan untuk melaksanakan pemikiran komputasional. Calon wajib menduduki semua instrumen pentaksiran bagi mata. SKEMA JAWAPAN PEPERIKSAAN AKHIR TAHUN SAINS KOMPUTER TINGKATAN 4 BAHAGIAN A 1.
Soalan Jawapan Markah Catatan 1 a P -2 Q 1 R 5 1b. Teknik Leraian 1M ii. Bahasa Melayu BM Sejarah Matematik Bahasa Inggeris Fizik Kimia Matematik Tambahan Biologi Prinsip Perakaunan Sains Pendidikan Islam Pendidikan Moral.
Peperiksaan akhir tahun kertas 2 tingkatan 4 2011 skema skema peperiksaan akhir tahun kertas 2 tingkatan 4 2011 sebagai latihan. PROSES jumlah nombor 1 nombor 2 4. Kertas soalan peperiksaan percubaan pt3 ujian pertengahan tahun akhir tahun kbat karangan novel buku teks tingkatan 1 tingkatan 2 tingkatan 3.
Contoh Soalan Peperiksaan Akhir Tahun Matematik Tingkatan 2 2021-11-09T223500-0800 Rating. Soalan Peperiksaan Sains Akhir Tahun Tingkatan 1 Kertas 2. Koleksi soalan percubaan pentaksiran tingkatan 3 pt3 2019 dan skema jawapan.
OUTPUT papar jumlah 16 5. Spm 2018 kertas 2 section c 1 spm 2019 addmaths paper 2 1 spm 2019 matematik tambahan 1. Ujian Akhir Tahun Tingkatan 2.
Skema Jawapan Matematik Kertas 2 2013 koleksi soalan percubaan dan skema jawapan pt3 2018 dan tahun sebelumnya pt3 trial papers berikut disertakan koleksi kertas soalan peperiksaan sebenar spm tahun tahun sebelumnya yang dikongsikan dari pelbagai sumber seperti dinyatakan untuk rujukan pelajar dalam mengulangkaji pelajaran skema. Dicatat oleh rohayamorat64 di 501 pg. Sains Pendidikan Moral Geografi.
Bahasa Melayu BM Bahasa Inggeris Matematik Sains Sejarah Geografi Reka Bentuk dan Teknologi RBT Al-Syariah Usul Ai-Din. Calon wajib menduduki semua kertas peperiksaan. Skema jawapan kertas peperiksaan pemerkasaan percubaan.
KEPERLUAN KERTAS 1 BM SPM 1103 1 LAMAN BAHASA MELAYU SPM. Peperiksaan akhir tahun tingkatan 4 setara daerah johor via. Koleksi soalan peperiksaan sebenar spm 2018 dan skema jawapan via wwwpermohonanmy.
Bahasa Melayu BM Bahasa Inggeris Matematik Sains Pendidikan Islam Sejarah Geografi Bahasa Arab Bahasa Cina Bahasa Tamil Asas Sains Komputer ASK Reka Bentuk dan Teknologi RBT. Kepada ibu bapa guru-guru dan pelajar yang terlibat bolehlah merujuk kepada. Mysumber akan kongsikan koleksi kertas soalan dan skema jawapan bagi peperiksaan percubaan pt3 tahun 2019 serta tahun 2018 untuk rujukan para pelajar.
Ujian Akhir Tahun Tingkatan 2. Bank Soalan Peperiksaan Akhir Tahun Tingkatan 2 adalah antara himpunan soalan-soalan yang berjaya kami sediakan untuk menjadi panduan dan rujukan kepada guru dan pelajar. Koleksi Kertas Soalan Peperiksaan Percubaan Sains Komputer SPM 2021 2020 2019 2018 Skema Jawapan.
PT3 Pentaksiran Tingkatan 3. SKEMA JAWAPAN PAT MATEMATIK TINGKATAN 2 2014 No. Koleksi kertas soalan peperiksaan percubaan bahasa inggeris english pt3 2019 2018 2017 skema jawapan.
Soalan Akhir Tahun Bahasa Melayu Tingkatan 2 adalah antara bahan-bahan terbaik yang kami adaBahan yang terdapat di sini memenuhi keperluan Pentaksiran Berasaskan Sekolah yang dilaksanakan secara menyeluruh mengikut prinsip bahawa semua mata pelajaran yang terkandung dalam KSSM memainkan peranan yang penting bagi memenuhi keperluan jasmani. Kertas Soalan Peperiksaan Akhir Tahun Sains Tingkatan 1 adalah antara bahan-bahan terbaik. SMJK CHUNG LING PEPERIKSAAN AKHIR TAHUN 2018 ASAS SAINS KOMPUTER Tingkatan 1 Nama_____ 1T Masa.
SKEMA JAWAPAN KERTAS 2 PEPERIKSAAN AKHIR TAHUN 2011 MAY 12TH 2018 - SKEMA JAWAPAN KERTAS 2 PEPERIKSAAN AKHIR TAHUN 2011 TINGKATAN 4 ASSALAMUALAIKUM SEMUA PELAJAR TINGKATAN 4 SESI 2011 SM SAINS KUALA SELANGOR soalan fizik pertengahan tahun tingkatan 5 kedah 2014. Soalan Spm Bi 2019. Semoga Perkongsian Soalan-Soalan Peperiksaan Percubaan PT3 Pentaksiran Tingkatan 3 panduan bahan rujukan sumber rujukan dalam post di blog Bumi Gemilang berguna dan dapat membantu para pelajar dan pengguna.
Soalan Pengetahuan Am Matematik. Peperiksaan akhir tahun tingkatan 2 2014 peraturan pemarkahan final exam bm t2. Semoga perkongsian bahan-bahan rujukan panduan bahan pembelajaran dan pengajaran contoh-contoh karangan sumber rujukan PT3 Pentaksiran Tingkatan 3 tingkatan 1 tingkatan 2 tingkatan 3 dalam post di blog Bumi Gemilang berguna.
Soalan peperiksaan matematik tingkatan 2. Bahasa Melayu BM Bahasa Inggeris Matematik Sains Pendidikan Islam Sejarah Geografi Bahasa Arab Bahasa Cina Bahasa Tamil Asas Sains Komputer ASK Reka Bentuk dan Teknologi RBT. Kali ini admin kongsikan soalan peperiksaan bagi tingkatan 2.
Kelantan Sains Skema Jawapan. Peperiksaan Akhir Tahun akan dilangsungkan di seluruh sekolah setiap hujung tahun akhir semesta. Koleksi Soalan Peperiksaan Akhir Tahun PAT Tingkatan 2 K.
Soalan Peperiksaan Percubaan PT3 disediakan oleh panel penggubal soalan guru-guru yang berpengalaman dan Skema Jawapan juga sangat berguna. Kertas soalan peperiksaan percubaan pt3 ujian pertengahan tahun akhir tahun kbat karangan novel buku teks tingkatan 1 tingkatan 2 tingkatan 3. Geografi tingkatan 2 peperiksaan pertengahan tahun.
Contoh Soalan Case Study. 2018 - tingkatan 1 sains kertas 2 ogos 55 2 1 jam. Soalan Peperiksaan Percubaan Sains Science PT3 2019 Skema Jawapan.
Pengecaman corak 1M iii. Pentaksiran Tingkatan 3 Tahun 2015.
Bank Soalan Peperiksaan Akhir Tahun 2019 Tingkatan 2
Top Pdf Peperiksaan Akhir Tahun Sains Tingkatan 4 2014 Kertas 2 123dok Com
Omg 5 Bm Tg 2 Flip Ebook Pages 1 50 Anyflip
Soalan Peperiksaan Pertengahan Tahun Sains Tingkatan 1 Skema Jawapan Pdf
Answers For Enrichment Questions Sem 1 Flip Ebook Pages 1 50 Anyflip
Koleksi Pelaporan Pbd Tingkatan 1 Hingga Tingkatan 5 Sumber Movie Posters
Soalan Percubaan Spm 2017 Sains Negeri Johor Berserta Skema Jawapan
Top Pdf Skema Jawapan Kertas Sains 018 1 123dok Com
Skema Jawapan Pendidikan Islam Spm 2016
Answers For Enrichment Questions Sem 1 Flip Ebook Pages 1 50 Anyflip
Skema Jawapan Peperiksaan Akhir Tahun Sains Komputer Tingkatan 4 Bahagian A Pdf
Dunia Sains Dan Teknologi Ujian Tahun 2 Took From Samples Given In Scribd School Work Education Learning
Koleksi Soalan Percubaan Spm 2019 2020 Dan Skema Jawapan
Omg 5 Bm Tg 2 Flip Ebook Pages 1 50 Anyflip
Nusamas East Malaysia Photos Facebook
Answers For Enrichment Questions Sem 1 Flip Ebook Pages 1 50 Anyflip

Comments
Post a Comment